解析服务水平
客户世界|武杰|2006-12-12
p>
p>
对于呼叫中心来说,服务水平是最重要的KPI之一,是衡量呼叫中心服务质量的指标,提高并维护服务水平是每一个呼叫中心管理者都应该认真面对的问题。但是服务水平的控制却不是那么容易,原因是服务水平不像接通率那样,可以直接由现成的容易理解的数据得到,并且服务水平的波动也非常大。
要控制服务水平,首先要理解服务水平,了解影响服务水平的因素。所以在此,我们对服务水平进行深度的数学分析,全面了解服务水平的计算方法与主要的影响因素,并且给出控制服务水平的方法。
服务水平(Service Level)是一个百分比,指的是在指定时间内接听的电话的比例。在业内,一般来说服务水平采用的是20秒内接通率或者15秒内接通率。从理论上来说,只要我们可以知道每一通呼入的具体数据,就可以通过每通电话从转入人工到客户代表接起的时间,把在20秒或者15秒之内接听的呼入统计出来,再与总体呼入量相比,就可以得到准确的服务水平。
但是每天面对成千上万的呼入量,要得到每一通电话的具体数据是非常烦琐的,也是没有必要的。我们使用的CMS系统会自己帮我们统计这些数据,并且经过后台计算,得到服务水平的结果。但是CMS系统只告诉我们数据,服务水平与其他指标之间的关系还是需要我们自己去分析和理解,然后去控制。
其实,把呼叫中心简单化来看,就是一个非常标准的排队论模型。
.gif)
从模型本身来看,是非常简单的三个过程,顾客到来、接受服务和离开。其中当顾客比较多,而服务台不能同时服务足够多的顾客时,就有顾客开始排队,直到自己被服务为止。对于呼叫中心,情况基本相同,服务水平就是本模型中有多少顾客等待时间少于20秒或者15秒。所以我们就可以利用排队论模型来对呼叫中心的相关数据进行分析。
在排队论模型中,几个关键前提是:
1、顾客的到来服从固定的分布;
2、服务台的服务时间服从固定的分布;
3、服务规则。
下面就根据排队论模型的关键前提来对呼叫中心进行建模。
相信每个呼叫中心都有预测分析人员,会掌握每日的呼入分布,例如:上午的9:00-11:00和下午的3:00-5:00是呼入的高峰期,而吃饭时间呼入会比较小。呼入的分布从大的时段上看是有规律的,例如年周期、月周期、周周期等等。但是小到一定的程度呼入量就会趋向于随机分布。例如,从上午9:00-9:30的半小时,我们可以预测大约有300通呼入,但是我们不能预测呼入在这半小时中的分布情况,因为在半小时之内,呼入是随机的。那么,我们认为在半小时的时间内,呼入服从泊松分布。
相信每个呼叫中心的班次不同,各个时段的上班人数也不同,但是经过时段细分后,每半小时的上班人数是固定的。在我们的呼叫中心里,服务时间服从于以平均ACD与平均ACW之和为数学期望的负指数分布。
在每个呼叫中心,CTI和PBX对呼入进行分配,一般都采用了先到先服务的排队规则。
这样,以我们的呼叫中心为例,就得到排队论模型如下:
时间段:半小时
顾客:呼入的电话……服从泊松分布
服务台:所有的客户代表……服从负指数分布
服务规则:先到先服务
如果有的呼叫中心设定了系统容量或者到时间自动放弃等,也可以加入排队论模型,本模型只讨论系统容量默认为无限大,没有限时自动放弃(例如)的情况。这样,此模型中的指标也与呼叫中心的指标相对应,如下:
顾客离开……呼叫放弃(半小时)
平均排队时长……平均速度应答(半小时)
平均顾客离开前等待时间……平均放弃时长(半小时)
这样通过对呼叫中心进行建模,我们可以掌握每半小时内的呼入等待分布、平均放弃分布、平均ACD与平均ACW之和的分布。进而明确影响这些指标的因素,通过对每半小时的指标控制来对整日、整周、整月的KPI指标进行控制。
在此,先考虑呼入不会放弃的情况,假设在半小时之内,呼入的电话服从参数为λ的泊松分布,客户代表的服务时间服从参数为?的负指数分布,目前有n个客户代表上班,系统内有i个客户的概率为P(i),分析这个时候的排队系统,得到状态转移关系图:
.gif)
由此得到差分方程:
.gif)
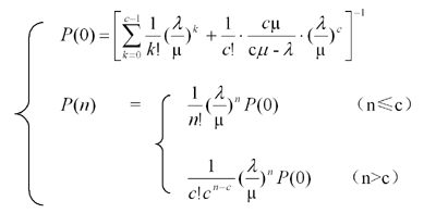
求解,可以得到:
.gif)
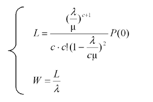
之后便可以进一步得到平均等待电话数和平均速度应答的公式:
.gif)
由此数学模型,我们就可以计算出在半小时之内的平均速度应答情况,例如:在上午10:00-10:30之间,平均呼入为200通,则可设定λ=200。客户代表的平均ACD+平均ACW为180秒,则可设定?=10。本时段有25名客户代表上班,则可设定c=25。
通过公式计算,可以得到,平均速度应答为7.5秒,平均等待人数为0.8个。当然这只是理想的情况,在实际工作中,客户在等待时间过长的时候会主动放弃,不过在CMS系统中,我们可以得到客户的平均放弃时长,把这个参数也加入到模型之中。如果CTI和PBX的设定不同,也可以在本模型中修改参数。
根据最简单的模型演示,我们也可以得到呼入的速度应答分布,如下图:
.gif)
从图中可以看到,根据?、λ、c等参数的变化,分布曲线也是不同的,但是大体形状相同。因为呼入进线都需要客户代表有一个反映时间与震铃时间,所以在0秒处应答的电话为0。平均服务水平就是曲线与时间轴之间的面积。例如:20秒内接通率为曲线从0到20所做的定积分。而平均速度应答就是使积分面积等于总面积一半的点。
在本图中需要注意一点,当把呼入放弃加入本模型之后,主动放弃的呼入将不计入本曲线之内。
在本曲线中,?、λ、c等参数的变化是会影响图形形状的,如果λ很大,而c过小,则曲线将会便矮。如果λ>c?,则曲线形状将发生比较大的变化,因为变化后的曲线类型比较多,在此不一一讲述。
从排队论模型中可以看到,直接影响服务水平的可控制因素为?、λ、c等参数,同时服务规则等也会产生影响。我们在此对影响因素进行逐一分析。
1、λ
严格意义上说,λ是不可控制的,因为λ代表了电话的呼入情况。但是从大的时段上来看,这个参数也是可以部分控制的。通过营销活动、客户引导来改变电话呼入的分布。在呼叫中心,我们是为了满足客户的需求,只要λ在我们可预测的范围之内,我们可以不去改变它。
λ在本模型中代表了呼入的分布,在其他条件不变的情况下,λ越大,服务水平就越低。从影响程度上讲,λ对放弃率的影响可以认为是线形的,而对服务水平的影响是二次的。所以在呼叫中心的运营过程中,我们可以发现,当接通率下降1个百分点时,服务水平可能下降5到10个百分点。
2、µ
µ代表客户代表对每一通电话的服务速度,这是我们可控制的,通过对服务流程的改进和对客户代表的培训,可以加快?。在其他条件不变的情况下,µ越大,服务水平就越高。从影响程度上讲,?与λ是基本相同的。
3、c
c代表了排班人员在这半个小时内所安排的上班人数,完全是由排班人员指定的,也是我们最容易控制的。在其他条件不变的情况下,c越大,则服务水平就越高。这个参数对服务水平的影响也是最大的,我们可以发现,有的时候在呼入很大的情况下,也许只多加一个人就可以缓解很大的呼入压力,就是这个道理。
4、服务规则
从理论上讲,改变服务规则也可以对服务水平产生影响。一般来说,各个呼叫中心都使用了先到先服务的服务规则,但是如果把服务规则修改成当一通呼入等待时间超过20秒之后,就把它排在等待的最后一位。这样,在等待的队伍中,等待时间短于20秒的呼入会优先被接听。这样的话,在被接听的电话中,等待时间在20内的比率就会增加。在其他条件不变的情况,服务水平也会有所提高,不过改变服务规则的可行性不大。
那么,在实际的运营工作中,如果通过可行的方法改进服务水平呢?根据排队论模型的分析,我们给出以下建议:
1、做好话务预测工作,掌握呼入的周期性分布,能够准确预测出半小时呼入量。并且通过对呼入量的分析来合理排班。
2、提高客户代表的工作效率,缩短每通电话的处理时间。
3、缩短震铃时间,就是从客户代表的电话铃响到接听的时间。一般来说,高效的呼叫中心把这个时间控制在每通电话3秒钟以内。
4、当电话发生排队时(在呼叫中心的看板上显示),需要由现场监督人员加强现场管理,尽快消除排队现象。
最后,本文中所列出的模型具有普遍性特征。因为电话的进线、排队、接听从根本上就是排队行为,只不过在细节上有所不同。对于其他的呼叫中心,可以根据自己的实际情况,找到呼入的分布,服务效率的分布,通过排队论模型得到相关的速度应答分布,更好的控制服务水平。
本文刊载于《客户世界》2006年11月刊;作者单位深圳发展银行信用卡中心客户服务部。
责编:admin
转载请注明来源:解析服务水平
相关文章
- 优化呼叫中心服务的关键因素是什么
- 呼叫中心内部分析正在被逐渐重视
- 电话销售的典型录音分析
- 呼叫中心质检管理技能的探讨
- 重复来电指标在呼叫中心的计算和应用
- 结合呼叫中心运营实例探讨通话均长结构化管理
- 呼叫中心首次呼叫解决率的测量
- 从客户满意度出发建立呼叫中心质检评分标准











