基于情境领导模型的呼叫中心人才测评
客户世界|章森|2012-11-26
p>
p>
如今的呼叫中心已经从最早的关注任务和绩效为导向逐渐不断转向以人为导向,对人的关注是现在国内优秀呼叫中心管理水平的体现,而评价中心技术也开始不断出现在很多呼叫中心的管理应用中。
相信大家曾遇到这样的情境:很多CSR的团队突然业务扩张,需要提拔一个人去担任领班或者组长,这时你提拔的依据是什么?面向一线的员工,我们需要什么样的评价技术?而且效果又好、又便于实现,当然成本更是要低!
呼叫中心的人力资源开发往往只做两件事:提升能力、发现潜能,然而很多时候我们做提升能力的时候却往往忽视了潜能的观察。笔者在这里基于对上述情境的思考,分享自己实践过的一个面向一线呼叫中心客服人员的测评项目,相信对各个呼叫中心的一线人员选拔带来启发。
测评模型:
我们用这样的一个逻辑:具有高潜质的人,或许我们可以理解为具有比较高的职业素养。根据职业素养的冰山模型,显性的是能力,隐性的是意愿。

“能力——意愿”的管理矩阵已经是保罗赫塞博士全球闻名的管理经典,或许是最通用和常见的管理矩阵。我们以此为逻辑定位一线员工的测评方向,需要测评他们的能力、他们的意愿。我们可以界定为:具有高能力和高意愿的人就是高潜质的人员,需要在呼叫中心的业务发展中为他们创造机会!

每个呼叫中心都可以根据自己的实际情况、并基于“能力”和“意愿”两大维度去设计测评内容,每一条能力项均需在工作中找一个共识可呈现点来做评价。

当然,如果感觉复杂,设计到第二步,只需找出能力评价点或意愿评价点即可。笔者一直认为呼叫中心是一个很具有评价中心应用价值的场所,因为那里人多、样本多,即使测评工具不至于太细化,也能收集到趋向真实的结果,但前提是方向要对!
以下是笔者在自己的项目实践中根据两大维度设计出的10个测评点,作为CSR的全体潜力测评模型。

测评流程:
在确定测评模型之后就需要开展测评的实施,因为每一个CSR在呼叫中心都需要接触三个纬度的人(如下图),360度评估方式可以避免角度的单一。

通过系统或者人工通过电子表格的形式向三个纬度的人员收集评价信息,并最终得到如下测评结果:

主管评估分=主观打分的所有项的平均分(大家也可以根据重要度来设计权重)
质检评估分=QA打分的所有项的平均分
团队评估分=所有队员打分的所有项的平均分(建议多采集队员信息,避免非正式组织的影响)
单项评估分=每个纬度、所有人打分的平均分(也可以根据信息可靠度来进行权重分布)
能力/意愿评估分=所有该纬度的所有打分项的平均分
测评分析:
1、大家可以看到每个队员、每个团队以及呼叫中心整体在所有纬度上的分布,找出发展短板。

2、用情境领导模型的语言,可以看出整个呼叫中心中每个团队、每个队员到底是在“能力—意愿”矩阵的哪个象限中。

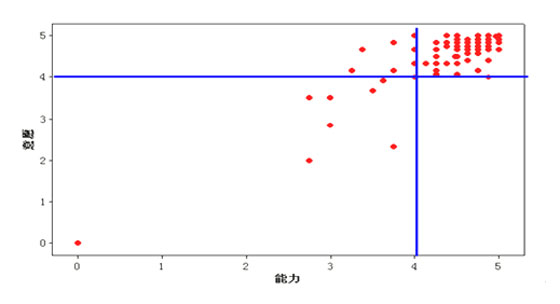
3、利用散点分析可以找出整个团队在“能力——意愿”矩阵中的分布,高能力和高意愿的队员到底在整个呼叫中心中占比多少?

4、也可以利用正态分布来观察整体呼叫中心一线人员综合素养的分布!

5、作为测评,一定会存在主观的成份,也可以通过测评找出整个呼叫中心内部大家对能力和意愿的评价中哪个评价点是相关关系最大的,可以在以后的测评中进行权重的调整。

6、很多时候,团队内部的互相评价可以视为“团队和谐度”的一种体现,通过测评,可以观察不同团队之间的和谐度。

7、可以通过“箱线分析”的方法来观察团队内部的能力差距、意愿差距,甚至可以观察某位评估人的主观程度。

8、笔者在实施这个项目的过程中最有趣的发现是观察到“不同纬度的评价是存在差异的”,因为大家的角度不同,这也证明了360度测评方法的正确性存在!
通过数据,你可以发现队员互相评价很高,领导对能力的评价比队员略低,但到了质检,普遍就低了下来!这是现象,角度和工作关系决定了,需要每一个呼叫中心的管理者去正视和改善!当然,作为测评技术,更需要在以后的测评中更加细化测评内容,规避这些角度决定的偏差!



9、回到我们的测评目的和界定:大家都认为具有高能力和高意愿的人就是高潜质的人员,你需要在呼叫中心的业务发展中为他们创造机会!可以从测评的散点分析中去找出那些人,成为呼叫中心以后的“储备人才库”或“TL人才池”,并对他们进行更多的投入培养和观察!


10、为何笔者会衷情于“情境领导模型”作为依据,因为它的“能力——意愿”矩阵最终的输出是“管理方式”!因此可以通过测评的结果给到各个团队的管理者具有高度针对性的管理和辅导意见,这是呼叫中心现代化管理中“以人为本”管理思想的体现!

结束语:
测评不是目的,不是评价人、而是通过对人的诊断给予好的管理方式和正确的发展机会。
测评是服务中心的劳动密集型业态可以参考的高价值的方法;但是测评技术没有绝对的科学和真理,只要适合自己的呼叫中心就好,有效比有道理重要!或许开始不一定完美,但选择了呼叫的人才测评这条路,也就选择了一条不断趋向科学呼叫中心人力资源管理的路!
本文刊载于《客户世界》2012年10月刊;作者为贝塔斯曼集团—欧维特服务(中国)公司培训经理。
转载请注明来源:基于情境领导模型的呼叫中心人才测评
相关文章
- “好客会”会员活动:《全媒体客户中心管理》北京读书沙龙(8月9日)
- 在线招聘“黑马”杀出 香草招聘开创互联网招聘效果时代
- 智能化趋势下呼叫中心人员胜任力转型探索
- 时间银行:客服中心员工自主管理模式
- 新员工,可以这样成长
- 客服代表的情绪辅导技巧
- 呼叫中心人才梯队搭建的思考
- 云呼叫中心:通讯业的变革者











